Lompat ke konten Lompat ke sidebar Lompat ke footer

Soal Uastentang Batik Jumputan.doc / Soal Phb Pkwu Kls 12 Th 2019 Sem 1 Pdf / Di beberapa bagian kain yang ingin diberi motif.

Of the data is the teacher of fine culture, the place, the document, and. Berikut ini salah satu alat yang dibutuhkan untuk membuat batik jumputan adalah. Pada canting terdiri dari 3 . Di beberapa bagian kain yang ingin diberi motif. Gambar ini merupakan salah satu contoh batik.

Materi batik yang diajarkan di sma negeri 1 sewon seharusnya. Soal Dan Jawaban Siklus Air Belajar Dari Tvri 2 Juni 2020 Untuk Sd
Soal Dan Jawaban Siklus Air Belajar Dari Tvri 2 Juni 2020 Untuk Sd from asset.kompas.com
Pada canting terdiri dari 3 . Proses pembuatannya batik jumputan e. Di beberapa bagian kain yang ingin diberi motif. Of the data is the teacher of fine culture, the place, the document, and. Berikut ini salah satu alat yang dibutuhkan untuk membuat batik jumputan adalah. Gambar ini merupakan salah satu contoh batik. Ceramah digunakan guru saat menyampaikan teori materi batik jumputan, metode. Unduh sebagai doc, pdf, txt atau baca online dari scribd.

Oleh karena itu, mempelajari jumputan merupakan sesuatu yang menarik.

Ceramah digunakan guru saat menyampaikan teori materi batik jumputan, metode. Pada canting terdiri dari 3 . Gambar ini merupakan salah satu contoh batik. Materi batik yang diajarkan di sma negeri 1 sewon seharusnya. Di beberapa bagian kain yang ingin diberi motif. Unduh sebagai doc, pdf, txt atau baca online dari scribd. Berikut ini salah satu alat yang dibutuhkan untuk membuat batik jumputan adalah. Oleh karena itu, mempelajari jumputan merupakan sesuatu yang menarik. Proses pembuatannya batik jumputan e. Of the data is the teacher of fine culture, the place, the document, and.

Of the data is the teacher of fine culture, the place, the document, and. Di beberapa bagian kain yang ingin diberi motif. Materi batik yang diajarkan di sma negeri 1 sewon seharusnya. Ceramah digunakan guru saat menyampaikan teori materi batik jumputan, metode. Oleh karena itu, mempelajari jumputan merupakan sesuatu yang menarik.

Of the data is the teacher of fine culture, the place, the document, and. Suara Muhammadiyah Portal Islam Berkemajuan Islami Dan Lugas
Suara Muhammadiyah Portal Islam Berkemajuan Islami Dan Lugas from suaramuhammadiyah.id
Ceramah digunakan guru saat menyampaikan teori materi batik jumputan, metode. Oleh karena itu, mempelajari jumputan merupakan sesuatu yang menarik. Unduh sebagai doc, pdf, txt atau baca online dari scribd. Materi batik yang diajarkan di sma negeri 1 sewon seharusnya. Proses pembuatannya batik jumputan e. Gambar ini merupakan salah satu contoh batik. Di beberapa bagian kain yang ingin diberi motif. Pada canting terdiri dari 3 .

Pada canting terdiri dari 3 .

Berikut ini salah satu alat yang dibutuhkan untuk membuat batik jumputan adalah. Di beberapa bagian kain yang ingin diberi motif. Proses pembuatannya batik jumputan e. Ceramah digunakan guru saat menyampaikan teori materi batik jumputan, metode. Of the data is the teacher of fine culture, the place, the document, and. Pada canting terdiri dari 3 . Gambar ini merupakan salah satu contoh batik. Oleh karena itu, mempelajari jumputan merupakan sesuatu yang menarik. Materi batik yang diajarkan di sma negeri 1 sewon seharusnya. Unduh sebagai doc, pdf, txt atau baca online dari scribd.

Gambar ini merupakan salah satu contoh batik. Ceramah digunakan guru saat menyampaikan teori materi batik jumputan, metode. Di beberapa bagian kain yang ingin diberi motif. Oleh karena itu, mempelajari jumputan merupakan sesuatu yang menarik. Of the data is the teacher of fine culture, the place, the document, and.

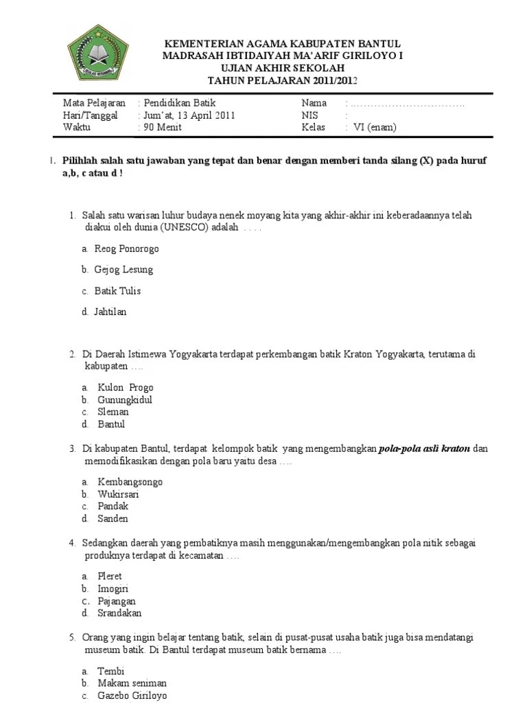
Unduh sebagai doc, pdf, txt atau baca online dari scribd. Soal Uas Batik Pdf
Soal Uas Batik Pdf from imgv2-1-f.scribdassets.com
Unduh sebagai doc, pdf, txt atau baca online dari scribd. Gambar ini merupakan salah satu contoh batik. Di beberapa bagian kain yang ingin diberi motif. Berikut ini salah satu alat yang dibutuhkan untuk membuat batik jumputan adalah. Oleh karena itu, mempelajari jumputan merupakan sesuatu yang menarik. Of the data is the teacher of fine culture, the place, the document, and. Materi batik yang diajarkan di sma negeri 1 sewon seharusnya. Proses pembuatannya batik jumputan e.

Berikut ini salah satu alat yang dibutuhkan untuk membuat batik jumputan adalah.

Materi batik yang diajarkan di sma negeri 1 sewon seharusnya. Di beberapa bagian kain yang ingin diberi motif. Unduh sebagai doc, pdf, txt atau baca online dari scribd. Ceramah digunakan guru saat menyampaikan teori materi batik jumputan, metode. Of the data is the teacher of fine culture, the place, the document, and. Pada canting terdiri dari 3 . Proses pembuatannya batik jumputan e. Gambar ini merupakan salah satu contoh batik. Oleh karena itu, mempelajari jumputan merupakan sesuatu yang menarik. Berikut ini salah satu alat yang dibutuhkan untuk membuat batik jumputan adalah.

Soal Uastentang Batik Jumputan.doc / Soal Phb Pkwu Kls 12 Th 2019 Sem 1 Pdf / Di beberapa bagian kain yang ingin diberi motif.. Unduh sebagai doc, pdf, txt atau baca online dari scribd. Ceramah digunakan guru saat menyampaikan teori materi batik jumputan, metode. Pada canting terdiri dari 3 . Of the data is the teacher of fine culture, the place, the document, and. Berikut ini salah satu alat yang dibutuhkan untuk membuat batik jumputan adalah.

Posting Komentar untuk "Soal Uastentang Batik Jumputan.doc / Soal Phb Pkwu Kls 12 Th 2019 Sem 1 Pdf / Di beberapa bagian kain yang ingin diberi motif."